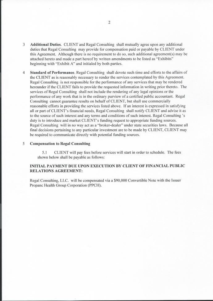
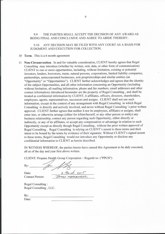
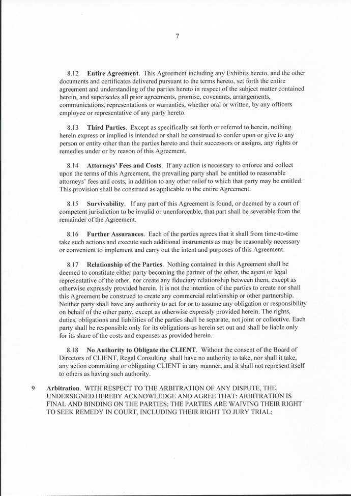
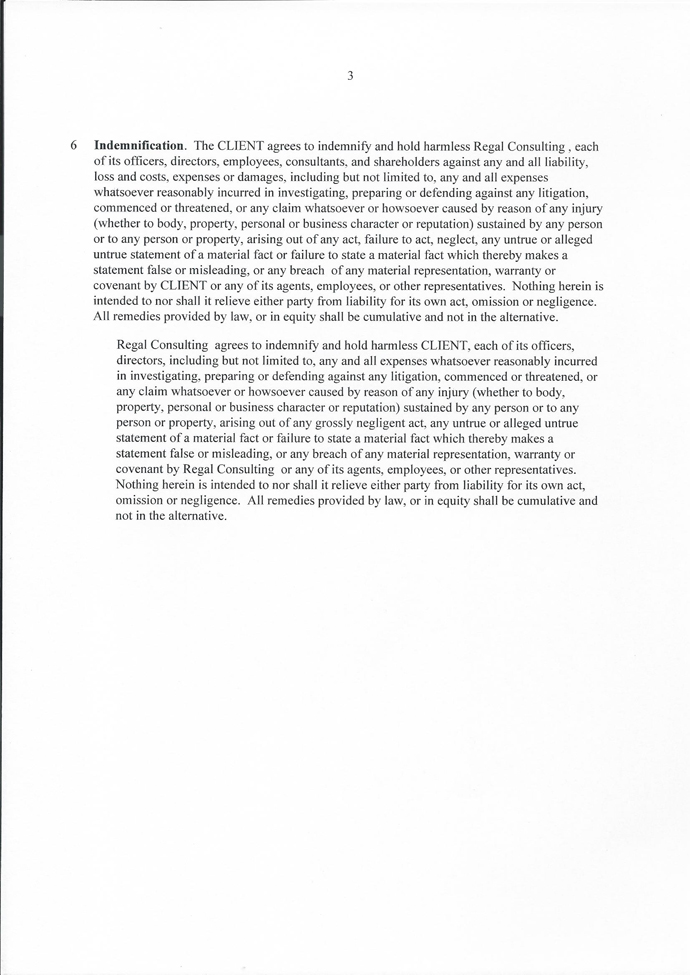
Exhibit 10.8